Предмет: Алгебра, автор: aliia3006

Помогите решить наиболее легким способом.

Приложения:

Ответы

Автор ответа: Regent1828
0
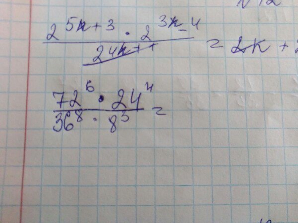
displaystyle  frac{2^{5k+3}*2^{3k-4}}{2^{4k+1}}= frac{2^{8k}*2^{-1}}{2*2^{4k}}= frac{2^{4k}}{2^{2}}=2^{4k-2} \  \  \  frac{72^{6}*24^{4}}{36^{8}*8^{3}}= frac{(3^{2}*2^{3})^{6}*(3*2^{3})^{4}}{(3^{2}*2^{2})^{8}*(2^{3})^{3}}= frac{3^{12}*2^{18}*3^{4}*2^{12}}{3^{16}*2^{16}*2^{9}}= \  \ = frac{3^{16}*2^{30}}{3^{16}*2^{25}}=2^{5}=32
Автор ответа: aliia3006
0
спасиииииибо
Автор ответа: Regent1828
0
Да не за что..))) Обращайтесь.
Похожие вопросы
Предмет: Английский язык, автор: olenka0614