Предмет: Алгебра,
автор: даурен30
решить уравнение помогите плиз прямо сейчас
Приложения:
Ответы
Автор ответа:
0
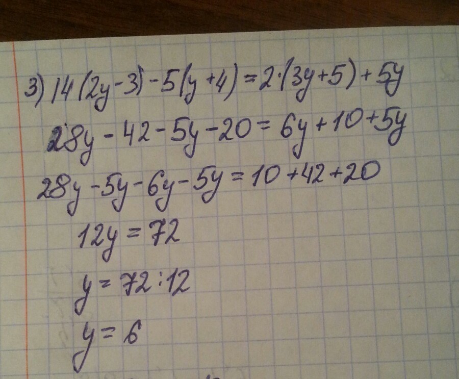
только первое уравнение
Приложения:
Похожие вопросы
Предмет: Математика,
автор: vasilikdiana3
Предмет: Информатика,
автор: GreenDill
Предмет: Физика,
автор: navhjfvkh
Предмет: Обществознание,
автор: denisc507
Предмет: Биология,
автор: violetta845