Предмет: Математика,
автор: sasha1234589667
помогите пожалуйста решить 2 уравнение
Приложения:
Ответы
Автор ответа:
0
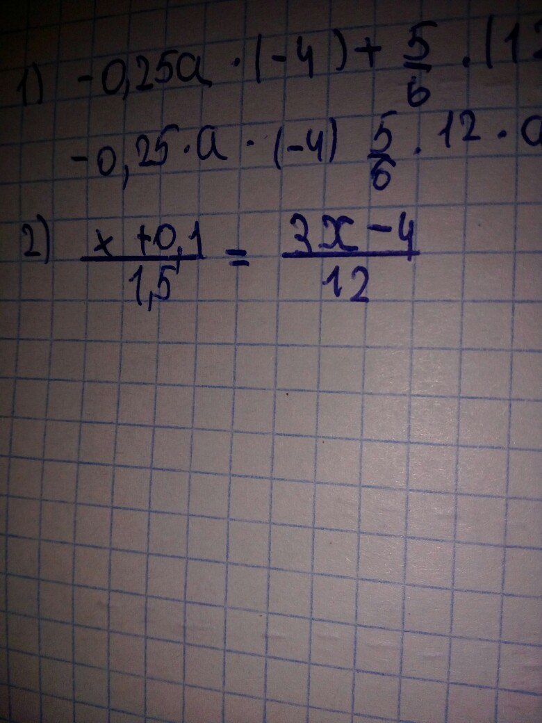
х+0.1 3х-4
------- = -----
1.5 12
12(х-0.1)=1.5(3х-4)
12х-1.2=4.5х-6
12х-4.5х=-6+1.2
7.5х=-4.8
х=-4.8 / 7.5
48 75
х=- ----- / -------
10 10
48
х=- -----
75
------- = -----
1.5 12
12(х-0.1)=1.5(3х-4)
12х-1.2=4.5х-6
12х-4.5х=-6+1.2
7.5х=-4.8
х=-4.8 / 7.5
48 75
х=- ----- / -------
10 10
48
х=- -----
75
Похожие вопросы
Предмет: Математика,
автор: dfatykhova72
Предмет: Информатика,
автор: daniilsergeev418
Предмет: География,
автор: Аноним
Предмет: Математика,
автор: IvanTrunov
Предмет: Математика,
автор: лолололололлолол123