Предмет: Алгебра,
автор: AndriOla
помогите , пожалуйста. со всеми решениями.
Приложения:
Ответы
Автор ответа:
0
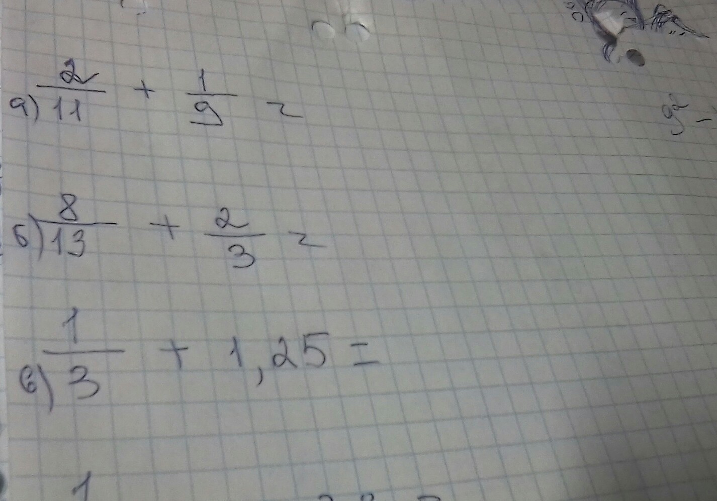
1) 2 1
_ + _ =3
11 9 _
20
2) 8 2
_ + _ =10
13 3 _
16
Третье не знаю извини
_ + _ =3
11 9 _
20
2) 8 2
_ + _ =10
13 3 _
16
Третье не знаю извини
Похожие вопросы
Предмет: Русский язык,
автор: erikrotenberger657
Предмет: Математика,
автор: nkoncevaya1984
Предмет: Математика,
автор: olialyashkevich1
Предмет: Математика,
автор: gafarovakarina
Предмет: Физика,
автор: Евгений2050