Предмет: Алгебра,
автор: нешарювалгебревообще
Помогите пожалуйста это решить (Желательно с объяснением, можно и без)
Приложения:
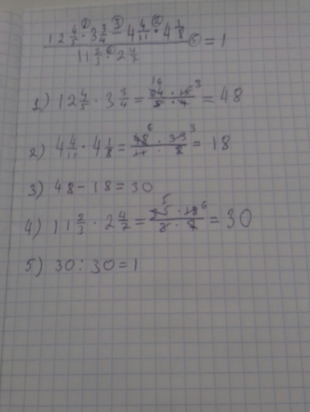
Ответы
Автор ответа:
0
Если что-то будет не понятно - пиши.
Приложения:
Автор ответа:
0
всё офигенно, спасибо от души!
Автор ответа:
0
Не за что))) Обращайся))
Похожие вопросы
Предмет: Русский язык,
автор: ilya0kazantsev
Предмет: Геометрия,
автор: ralinakabyseva
Предмет: Алгебра,
автор: Аноним
Предмет: Математика,
автор: 8851
Предмет: Алгебра,
автор: naty20151