Предмет: Алгебра, автор: ярослава444

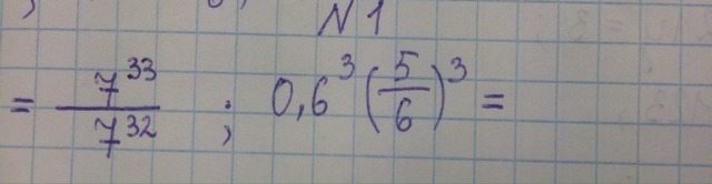
0,6^3(5/6)^3 разложите на множители пожалуйста

Приложения:

Ответы

Автор ответа: Асик777Асик
0
0,6=6/10. Получится:
(0,6)^3* (frac56)^3=(frac{6}{10})^3*( frac56)^3= frac{6^3}{10^3}* frac{5^3}{6^3}= frac{5^3}{10^3}= (frac{5}{10})^3=( frac12)^3= frac18=\=0,125
Похожие вопросы
Предмет: Алгебра, автор: Magic2789