Предмет: Математика,
автор: ника2144
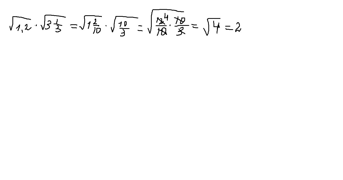
корень 13 * корень52; корень 63 ×корень 7 ; корень две третьих ×корень три восьмых; корень 1,2× три целых одна третья ; корень 20 × корень 45
Ответы
Автор ответа:
0
√13*√52=√676=26 √63*√7=√441=21 √23*√38=√624=√14=12
√20*√45=√900=30
√20*√45=√900=30
Приложения:
Автор ответа:
0
Спасибо
Автор ответа:
0
пожалуйста
Похожие вопросы
Предмет: Математика,
автор: romasovvitala824
Предмет: Математика,
автор: zemlyanyh
Предмет: Алгебра,
автор: alinashevchuk114
Предмет: Алгебра,
автор: belckinaaleona
Предмет: Геометрия,
автор: Аноним