Предмет: Алгебра,
автор: Diname1703
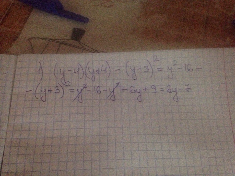
правильно? ,упростил выражение
Приложения:
Ответы
Автор ответа:
0
(y - 4)(y+4) - (y - 3)² = y² - 16 - (y² - 6y + 9) = y² - 16 - y² + 6y - 9 = 6y - 25
Автор ответа:
0
а можете помочь с другими?
Похожие вопросы
Предмет: География,
автор: smavrin73
Предмет: Химия,
автор: marmilagochka
Предмет: Литература,
автор: Mxrtem
Предмет: Химия,
автор: katya1234567654321
Предмет: Литература,
автор: dimaprashnik