Предмет: Математика,
автор: Аноним
♥♥♥помогите пожалуйста
Приложения:
Ответы
Автор ответа:
0
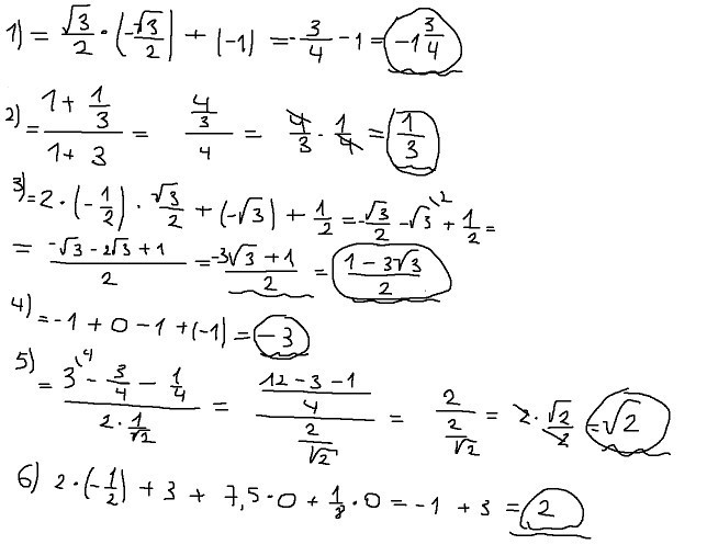
Должно получиться вот такP.S. желательно сверить с ответами в учебнике :)
Приложения:
Похожие вопросы
Предмет: История,
автор: kirya220k
Предмет: Английский язык,
автор: plyskayevheniia
Предмет: Оʻzbek tili,
автор: mukarramahmadzonova
Предмет: Биология,
автор: jeverlyshop
Предмет: Литература,
автор: Alex743