Предмет: Алгебра,
автор: 2835000003
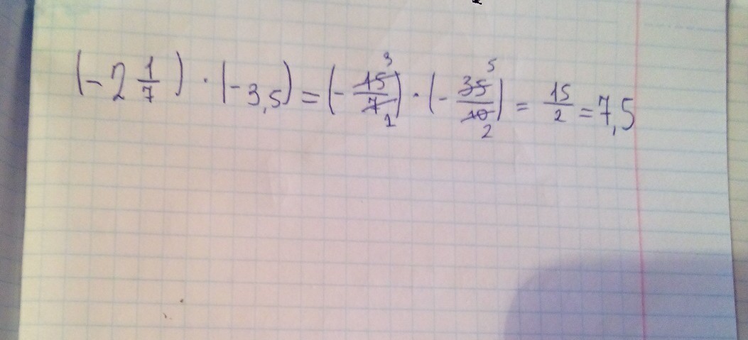
найти значение выражения ( -2 1/7) * (-3,5)
Ответы
Автор ответа:
0
надеюсь все видно))))))
Приложения:
Автор ответа:
0
спасибо большое
Автор ответа:
0
Всегда пожалуйста)))
Похожие вопросы
Предмет: Русский язык,
автор: vladgarder1
Предмет: Математика,
автор: georgiypipisk050505
Предмет: Биология,
автор: nik10283
Предмет: Математика,
автор: juliazubec