Предмет: Алгебра,
автор: вика55514
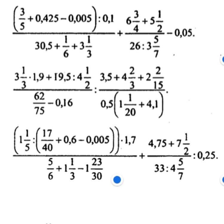
Помогите решить плииз
Мне срочно на сегодня
Приложения:
Ответы
Автор ответа:
0
Решение задания приложено
Приложения:
Автор ответа:
0
Ок ладно давай спать
Автор ответа:
0
Завтра учиться
Автор ответа:
0
Спокойной ночи
Автор ответа:
0
Я понимаю. Я решаю устно, но чтоб учитель не сомневался, десятичные дроби решаем в столбик. Это запомнится со временем, например, что 12,25:7=1,75. Удачи.
Автор ответа:
0
Спасибо
Автор ответа:
0
))))))))))))))))))))))))))))))
Приложения:
Автор ответа:
0
Но на помощь пришла ты
Автор ответа:
0
))
Автор ответа:
0
я я всегда во время)
Автор ответа:
0
Да
Похожие вопросы
Предмет: Математика,
автор: smirnova07201
Предмет: Русский язык,
автор: dzugaev2
Предмет: Физика,
автор: Varinko
Предмет: История,
автор: ВалерияУрикова
Предмет: География,
автор: Илья999222