Предмет: Алгебра,
автор: TIMtiTIM
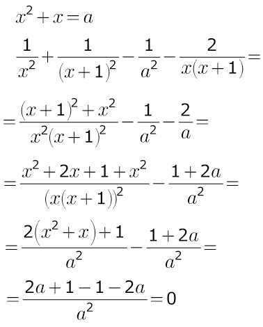
Известно, что x²+x=a. Найдите 1/x² +1/(x+1)² -1/a² -2/x(x+1)
Ответы
Автор ответа:
0
ноль получился))))))))))
Приложения:
Похожие вопросы
Предмет: Русский язык,
автор: ludmila81983
Предмет: Математика,
автор: mariapopova210907
Предмет: Алгебра,
автор: elena7192
Предмет: Математика,
автор: zxcvbnm230504