Предмет: Алгебра,
автор: gangstadasha
помогите плес люди добрые❤❤❤
Приложения:
Ответы
Автор ответа:
0
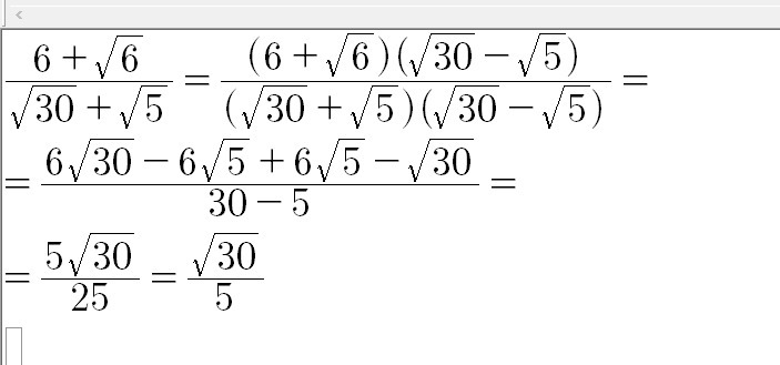
СМ ФОТО
=====================
=====================
Приложения:
Автор ответа:
0
огромное спасибо
Похожие вопросы
Предмет: Немецкий язык,
автор: anyali42p5hels
Предмет: Алгебра,
автор: 23kristina2301
Предмет: Геометрия,
автор: helper7382
Предмет: Алгебра,
автор: ninaberezina6
Предмет: История,
автор: Аноним