Предмет: Алгебра,
автор: Аринушка22
помогите пожалуйста с алгеброй,я в ней не разбираюсь(((
Приложения:
Ответы
Автор ответа:
0
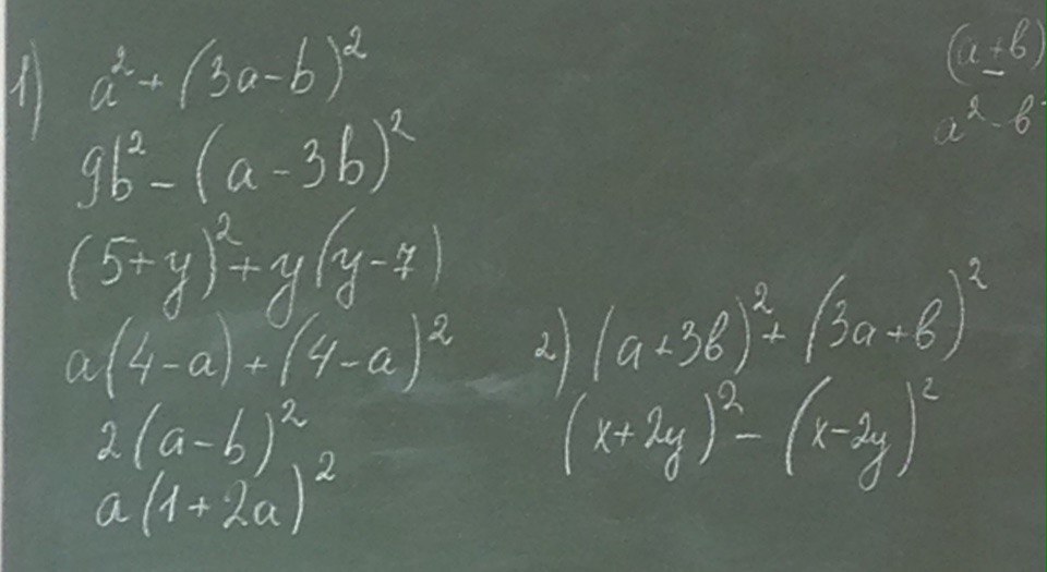
1) a^2+9a^2-6ab+b^2=10a^2-6ab+b^2
9b^2-a^2+6ab-9b^2=6ab-a^2
25+10y+y^2+y^2-7y=2y^2+3y+25
4a-a^2+16-8a+a^2=16-4a=4 (4-a)
2a^2-4ab+2b^2
a+4a^2+4a^3
2)a^2+6ab+9b^2+9a^2+6ab+b^2=10a^2+12ab+18b^2=2 (5a^2+6ab+9b^2)
x^2+4xy+4y^2-x^2+4xy-4y^2=8xy
9b^2-a^2+6ab-9b^2=6ab-a^2
25+10y+y^2+y^2-7y=2y^2+3y+25
4a-a^2+16-8a+a^2=16-4a=4 (4-a)
2a^2-4ab+2b^2
a+4a^2+4a^3
2)a^2+6ab+9b^2+9a^2+6ab+b^2=10a^2+12ab+18b^2=2 (5a^2+6ab+9b^2)
x^2+4xy+4y^2-x^2+4xy-4y^2=8xy
Похожие вопросы
Предмет: Русский язык,
автор: nosoks388
Предмет: Литература,
автор: yaninahram
Предмет: Биология,
автор: Аноним
Предмет: Математика,
автор: Аноним
Предмет: Алгебра,
автор: skxkksdmxk