Предмет: Математика,
автор: dasha120474
помогите с математикой
Приложения:
Ответы
Автор ответа:
0
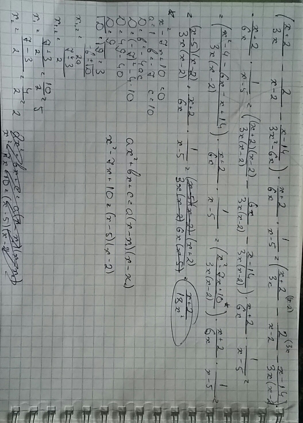
У меня так получилось
Приложения:
Автор ответа:
0
Да не за что)
Автор ответа:
0
Ой, извини) Решается, просто там другие способы: теорема Виетта, по формулам. Но в данном случае только по дискриминанту)))
Автор ответа:
0
вот нам нужно по теореме Виета
Автор ответа:
0
дискриминанд не подходит
Автор ответа:
0
Ааа
Похожие вопросы
Предмет: Математика,
автор: globusss09
Предмет: Алгебра,
автор: fgggg46mska
Предмет: Математика,
автор: Аноним
Предмет: Математика,
автор: мурзатай
Предмет: Алгебра,
автор: Renata875