Предмет: Алгебра,
автор: BoeBoDa223
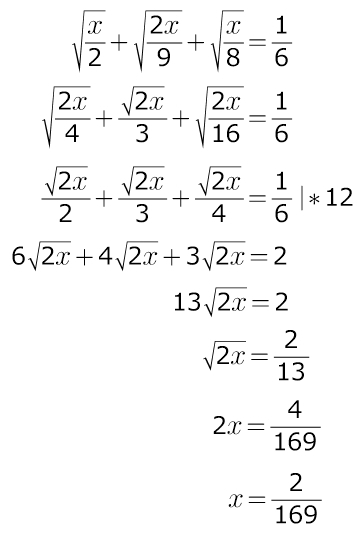
Помогите решить номер 915 пожалуйста
Приложения:
Ответы
Автор ответа:
0
а)

б)

б)
Автор ответа:
0
б) и г)
дополнение к первому ответу...
дополнение к первому ответу...
Приложения:
Похожие вопросы
Предмет: Физика,
автор: vladislavsolovej777
Предмет: Қазақ тiлi,
автор: kzm083559
Предмет: Математика,
автор: ksysha5070
Предмет: Физика,
автор: irkabezmaterny1
Предмет: Литература,
автор: kristinatsar0