Предмет: Алгебра,
автор: Шома455
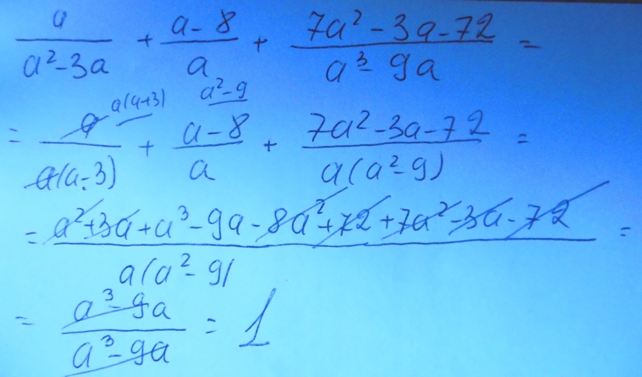
Упростить выражение:
Приложения:
Ответы
Автор ответа:
0
!!!!!!!!!!!!!!!!!!!!!!!!!
Приложения:
Похожие вопросы
Предмет: Оʻzbek tili,
автор: kara3349
Предмет: Қазақ тiлi,
автор: Danilhpr
Предмет: Русский язык,
автор: lisskasimova
Предмет: Математика,
автор: mprotscko