Предмет: Алгебра,
автор: Saimon1337
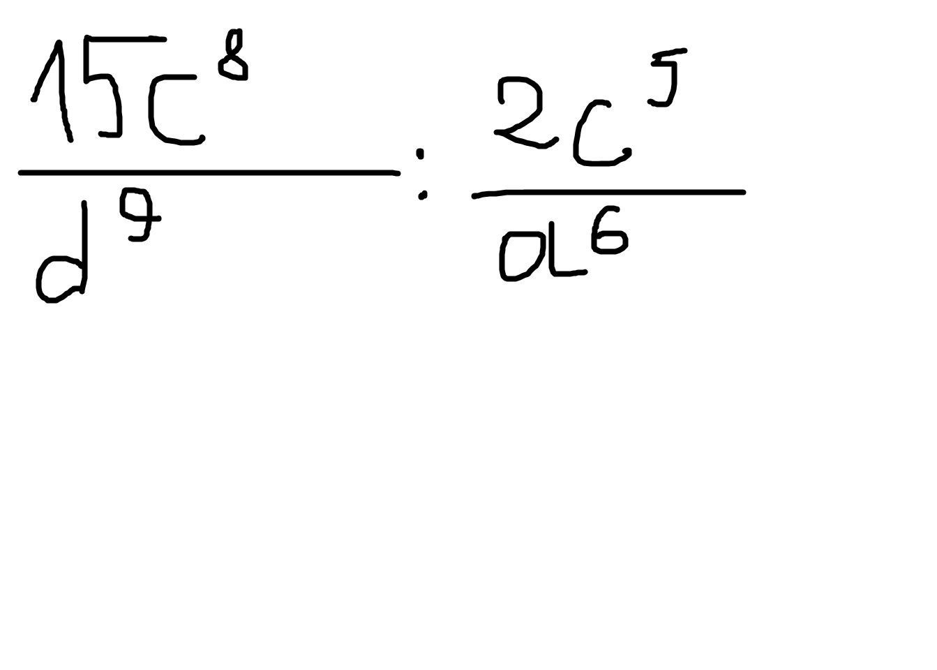
Будьте добры, пожалуйста помоги решить примеры
Приложения:
Ответы
Автор ответа:
0
Программа: photomath. Очень удобная и простая
Приложения:
Автор ответа:
0
если что-то не понятно, обращайтесь ))))
Приложения:
Похожие вопросы
Предмет: География,
автор: veraproskina108
Предмет: Қазақ тiлi,
автор: tattaser004
Предмет: Физика,
автор: lalo68809
Предмет: Математика,
автор: MKL68
Предмет: Математика,
автор: бэти2005