Предмет: Математика,
автор: lemanr
Решите уравнения.
1) 2(5x-4)=7(x-1)
2) 3x-5=9x-14
Ответы
Автор ответа:
0
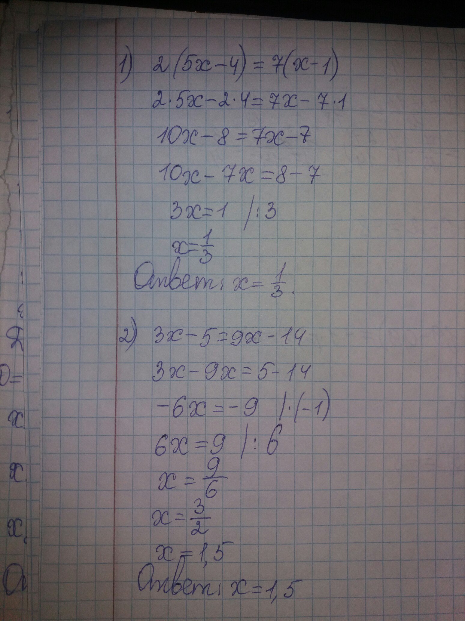
Решение на фото.
_________________
Sunny Storm (Darknight)
_________________
Sunny Storm (Darknight)
Приложения:
Автор ответа:
0
1) 2(5x-4)=7(x-1)
10х-8=7х-7
10х-7х=8-7
3х=1
х=1/3
2) 3x-5=9x-14
9х-3х=-5+14
6х=9
х=9:6
х=1,5
10х-8=7х-7
10х-7х=8-7
3х=1
х=1/3
2) 3x-5=9x-14
9х-3х=-5+14
6х=9
х=9:6
х=1,5
Приложения:
Похожие вопросы
Предмет: Литература,
автор: niniko5060
Предмет: Математика,
автор: agalarovsamir073
Предмет: Математика,
автор: sajtovrvazamat
Предмет: Химия,
автор: polina8881
Предмет: Математика,
автор: etaaktau