Предмет: Алгебра,
автор: zerlina
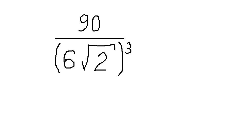
ПОМОГИТЕ ПОЖАЛУЙСТА РЕШИТЬ НОМЕР В АЛГЕБРЕ)
ОЧЕНЬ СРОЧНО!
ЗАРАНЕЕ БОЛЬШУЩЕЕ СПАСИБО! <3
Приложения:
Ответы
Автор ответа:
0
3*3*2*5 : (3*3*3*2*2*2*2*sqrt(2)) = 5 : (3*8*sqrt(2))
Ответ: 5/(24*корень(2))
Ответ: 5/(24*корень(2))
Похожие вопросы
Предмет: Информатика,
автор: flower9821
Предмет: Музыка,
автор: dashamordovina
Предмет: Биология,
автор: eeelprimoo14
Предмет: Алгебра,
автор: akostrubenko
Предмет: Литература,
автор: bloomm0124