Предмет: Алгебра,
автор: igor558
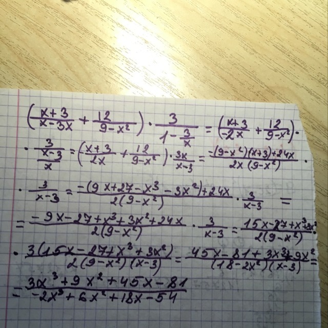
помогите пожалуйста решить пример заранее спасибо)
Приложения:
Ответы
Автор ответа:
0
Надеюсь видно, только я не знала, надо было в строчку писать или в столбик..
Приложения:
Похожие вопросы
Предмет: Обществознание,
автор: vovkamarkovka2019
Предмет: Алгебра,
автор: iooooo83
Предмет: Математика,
автор: erasylkadyrzan051
Предмет: Математика,
автор: svetikserj
Предмет: Математика,
автор: Даша0999