Предмет: Алгебра,
автор: ghon2016
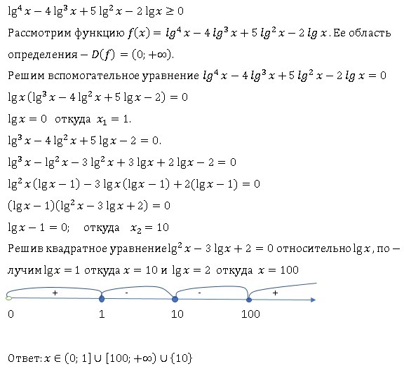
Помогите решить неравенство lg^4(x)-4lg^3(x)+5lg^2(x)-2lg(x)>=0
Ответы
Автор ответа:
0
Решение смотрите на фотке
Приложения:
Автор ответа:
0
спасибо огромное
Похожие вопросы
Предмет: Математика,
автор: lezgin383838
Предмет: Алгебра,
автор: jsjbb
Предмет: Русский язык,
автор: escapeyyy
Предмет: Алгебра,
автор: Азяка21
Предмет: Алгебра,
автор: пельменишка