Предмет: Математика,
автор: эльвина65
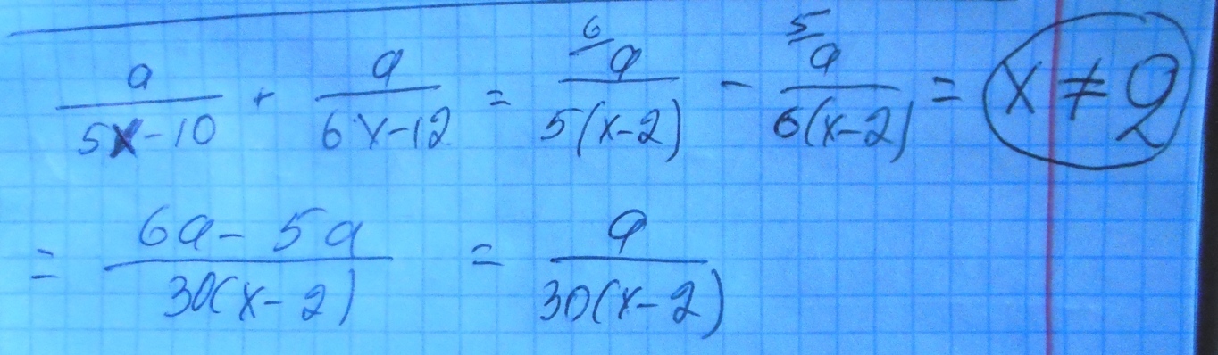
помогите пожалуста прошу очень
Приложения:
Ответы
Автор ответа:
0
!!!!!!!!!!!!!!!!!!!!!!!!!!!
Приложения:
Автор ответа:
0
спасибо
Похожие вопросы
Предмет: Русский язык,
автор: cebiyevalala
Предмет: Химия,
автор: Ahi00009
Предмет: Математика,
автор: elektrospartak
Предмет: Литература,
автор: Kristina09022004