Предмет: Математика,
автор: Аноним
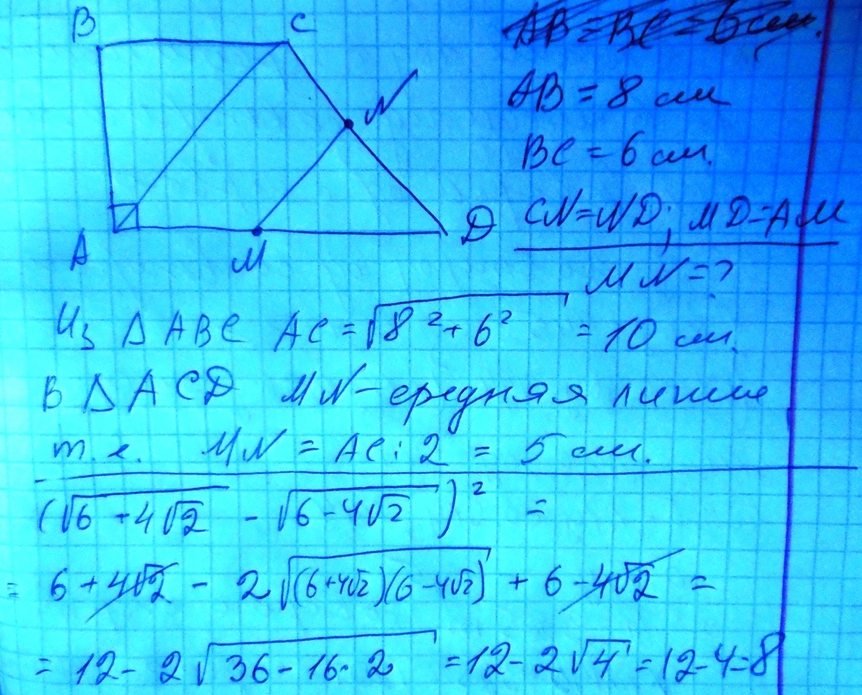
решите пожалуйста задания
Приложения:
Ответы
Автор ответа:
0
!!!!!!!!!!!!!!!!!!!!!!!!!!!!!!!!!!!!!
Приложения:
Похожие вопросы
Предмет: Алгебра,
автор: Tomatopaste08
Предмет: Физика,
автор: faina12345
Предмет: Другие предметы,
автор: Аноним
Предмет: Математика,
автор: Slonik2004
Предмет: Литература,
автор: Rusland5