Предмет: Математика,
автор: agaevravil59
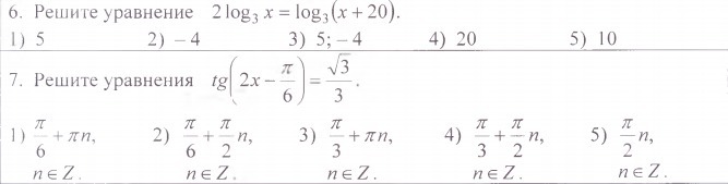
2 задачки, не сложные, прошу по возможности поподробней.
Приложения:
Ответы
Автор ответа:
0
Первому ответ 1)5
Второму ответ 2)
Второму ответ 2)
Похожие вопросы
Предмет: Українська мова,
автор: Аноним
Предмет: История,
автор: madinasagidanova04
Предмет: Информатика,
автор: mikakitt228
Предмет: Физика,
автор: iraa44222
Предмет: Математика,
автор: kochetkova75