Предмет: Математика,
автор: samshilo7070
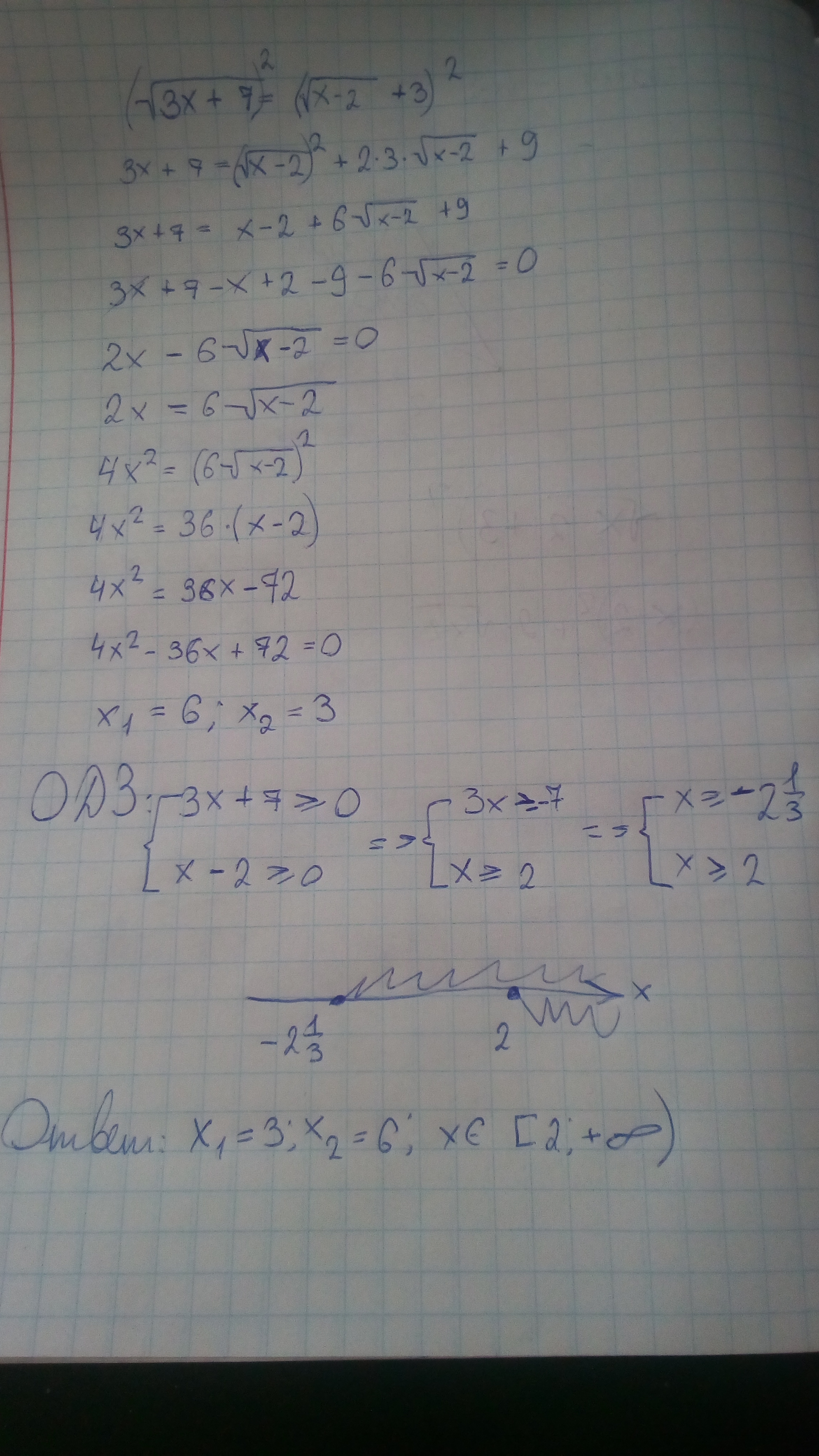
Помогите пожалуйста решить уравнение и найти ОДЗ
Приложения:
Ответы
Автор ответа:
0
Смотри на фотку ниже.
Приложения:
Автор ответа:
0
Кстати, в конце проверку по ОДЗ не забудьте сделать.
Автор ответа:
0
И в ответ записать ответ)))
Автор ответа:
0
Теперь, конечно, лучше, но до идеала далеко. В идеальном решении должно быть отмечено, что найденные решения принадлежат ОДЗ. Кроме того, в одном месте был переход, вообще говоря, на ОДЗ неравносильный - это возведение в квадрат уравнения 2x=6корень(x-2). Нужно было написать x>=0. Случайно это не привело к ошибке.
Автор ответа:
0
Все это делаю в голове и даже не замарачиваюсь ,главное что ответ правильный. Можно было много чего еще написать, но я не думаю что ему это надо было. Он просто проси лрешить пример и одз найти)
Автор ответа:
0
Речь идет не только о конкретном человеке, выставившем задачу, а о всех тех, кто может наткнуться на нее. Решение должно быть корректным, с необходимыми проверками.
Похожие вопросы
Предмет: География,
автор: letplaychara
Предмет: Химия,
автор: blonderbot
Предмет: Обществознание,
автор: alexmaksimov876
Предмет: Математика,
автор: bonkine