Предмет: Математика,
автор: polinamullayarova
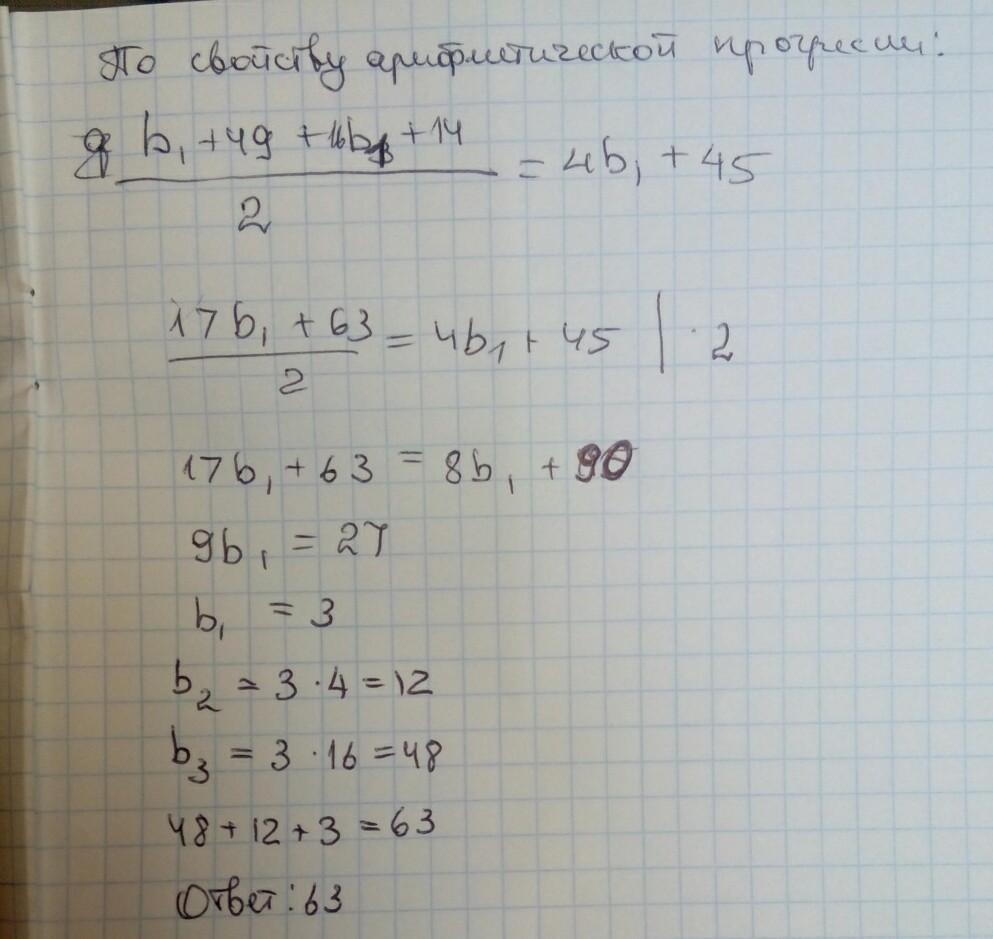
85)Если к трем числам a, b, c, составляющим геометрическую прогрессию со знаменателем 4, прибавить соответственно 49, 45 и 14,, то получатся три числа, составляющие арифметическую прогрессию. Найдите сумму чисел a, b,c.
Ответы
Автор ответа:
0
Ответ: 63. Решение на фотографии
Приложения:
Автор ответа:
0
Спасибо большое! Я просто поражаюсь на сколько умные люди помогают таким бездарям, как я!) По доброму завидую вашему уму)
Автор ответа:
0
Да что ты, я тоже многого не знаю
Похожие вопросы
Предмет: Математика,
автор: zaq13579mlp
Предмет: Алгебра,
автор: Аноним
Предмет: Английский язык,
автор: anastasiyaivanova08
Предмет: Биология,
автор: bank4avprotxb
Предмет: Математика,
автор: Lena1328