Предмет: Алгебра, автор: markys8695

Найдите число целых решений неравенства

Приложения:

Ответы

Автор ответа: Асик777Асик
0
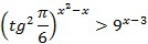
tg^2 frac{ pi }{6}=tg^230=( frac{1}{ sqrt{3}})^2= frac13
( frac13)^{x^2}^-^x textgreater  9^x^-^3\<br />(9)^- ^frac12= frac13\<br />(9)^- ^frac12^*^(^{x^2}^-^x^) textgreater  9^x^-^3\<br />- frac12(x^2-x) textgreater  x-3\<br />x^2-x textless  (x-3):(- frac12)\<br />x^2-x textless  -2(x-3)\<br />x^2-x textless  -2x+6\<br />x^2-x+2x-6 textless  0\<br />x^2+x-6 textless  0\<br />x^2+x-6=0\<br />x_1*x_2=-6\<br />x_1+x_2=-1\<br />x_1=-3\<br />x_2=2\<br />
Сейчас отметим всё на интервале:
+ _ +
______-3_________2_________ Обе точки пустые.
Выбираем отрицательный интервал, и получится:
Ответ: (-3;2). Тогда количество целых решений равно: 4→конечный ответ).
Похожие вопросы
Предмет: Оʻzbek tili, автор: FOFO11
Предмет: Математика, автор: кахветка