Предмет: Алгебра,
автор: funnynegr14
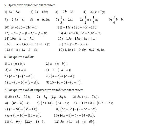
помогите с номером 7. Очень нужно. Заранее спасибо.
Приложения:
Ответы
Автор ответа:
0
1)3b+5a-7b=-4b+5a
2)-3q-8p+3q=-8p
3)5x+11-7x=-2x+11
4)-8c+4+4=-8c+8
5)2+3a+7a-2=10a
6)-11a-b-12a+3b=-23a+2b
7)5-3b+3b-11=-6
8)5a-3b-2-5a+3b=-2
9)a+a-10-12-a=a-22
10)6x-8-5x-4+9x=10x-12
11)1-9y-22y+4-5=-31y
12)5b-6b-a-a+6b=5b -2a
2)-3q-8p+3q=-8p
3)5x+11-7x=-2x+11
4)-8c+4+4=-8c+8
5)2+3a+7a-2=10a
6)-11a-b-12a+3b=-23a+2b
7)5-3b+3b-11=-6
8)5a-3b-2-5a+3b=-2
9)a+a-10-12-a=a-22
10)6x-8-5x-4+9x=10x-12
11)1-9y-22y+4-5=-31y
12)5b-6b-a-a+6b=5b -2a
Автор ответа:
0
Арр, ох уж эти переносы строки, постоянно не работаюют
Автор ответа:
0
1)3b+5a-7b=5a-4b
2-3q-8p+3q=-8p
3)5x+11-7x=11-2x
4)-8c+4+4=-8c+8
5)2+3a+7a-2=10a
6)-11a-b-12a+3b=-23a+2b
7)5-3b+3b-11=-6
8)5a-3b-2-5a+3b=-2
9)a+a-10-12-a=a-22
10)6x-8-5x-4+9x=10x-12
11)1-9y-22y+4-5=-31y
12)5b-6b-a-a+6b=-2a+5b
2-3q-8p+3q=-8p
3)5x+11-7x=11-2x
4)-8c+4+4=-8c+8
5)2+3a+7a-2=10a
6)-11a-b-12a+3b=-23a+2b
7)5-3b+3b-11=-6
8)5a-3b-2-5a+3b=-2
9)a+a-10-12-a=a-22
10)6x-8-5x-4+9x=10x-12
11)1-9y-22y+4-5=-31y
12)5b-6b-a-a+6b=-2a+5b
Похожие вопросы
Предмет: География,
автор: lolk5g
Предмет: Физика,
автор: bereva99
Предмет: Русский язык,
автор: sofialimzhan
Предмет: Литература,
автор: kukolka9324
Предмет: Математика,
автор: ЛизаЛуц