Предмет: Алгебра,
автор: marsmega26
Помогите решить неравенства. Срочно.
Приложения:
Ответы
Автор ответа:
0
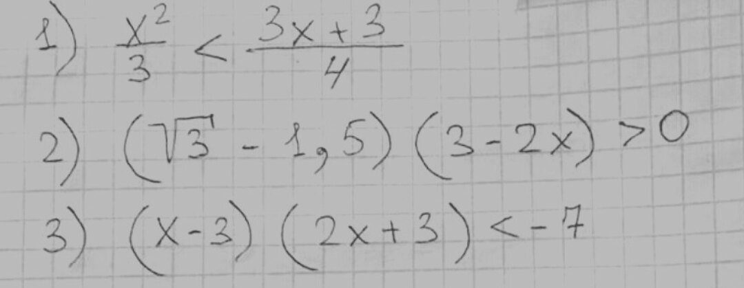
1) 4x^2 - 9x - 9 <0
D=15^2
x1=(9+15)/2*4 = 3 x2=(9-15)/2*4=-0.75
x{-0.75; 3}
2) корень из 3 - 1.5 >0 поэтому 3-2x>0
-2x>-3
x<1.5
3) (x-3)(2x+3) +7<0
2x^2-3x-2=0
D=5^2
x1= 2; x2= - 0.5
x{-0.5;2}
D=15^2
x1=(9+15)/2*4 = 3 x2=(9-15)/2*4=-0.75
x{-0.75; 3}
2) корень из 3 - 1.5 >0 поэтому 3-2x>0
-2x>-3
x<1.5
3) (x-3)(2x+3) +7<0
2x^2-3x-2=0
D=5^2
x1= 2; x2= - 0.5
x{-0.5;2}
Автор ответа:
0
Решение задания приложено
Приложения:
Похожие вопросы
Предмет: Химия,
автор: soootfv258
Предмет: Алгебра,
автор: maksmaksbogdanov05
Предмет: Алгебра,
автор: kirillelizarov3
Предмет: Математика,
автор: amanova043