Предмет: Математика,
автор: ANNA22112017
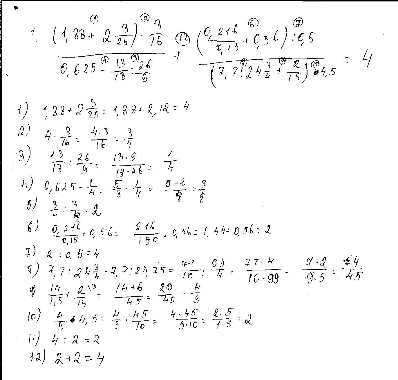
Решите пожалуйста по действиям!!ответ должен быть,,4,,даю 20б
Приложения:
Ответы
Автор ответа:
0
:))))))))))))))))))))))))
Приложения:
Похожие вопросы
Предмет: Геометрия,
автор: arinasahbazova32
Предмет: Русский язык,
автор: denismozgovoj13
Предмет: География,
автор: sunflowerharuka
Предмет: Биология,
автор: vitulya2026
Предмет: Литература,
автор: iskenderovaelvina