Предмет: Математика,
автор: nastjaivolgina1
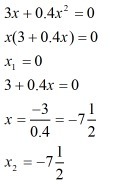
Найдите наибольший корень уравнения 3x+0,4x2=0
Ответы
Автор ответа:
0
Решение смотрите на картинке
0>-7,5
Ответ: 0
0>-7,5
Ответ: 0
Приложения:
Автор ответа:
0
ответ: 0
Автор ответа:
0
0,4х²+3х=0
0,4х(х+7,5)=0 0,4 сокращается, и остается только: х(х+7,5)=0. Тут х=0 х=-7,5
Наибольший корень- это 0→ответ).
0,4х(х+7,5)=0 0,4 сокращается, и остается только: х(х+7,5)=0. Тут х=0 х=-7,5
Наибольший корень- это 0→ответ).
Приложения:
Похожие вопросы
Предмет: Математика,
автор: Deadinside229
Предмет: Геометрия,
автор: arinasahbazova32
Предмет: Математика,
автор: melskemeek
Предмет: Математика,
автор: taalayasanov
Предмет: Литература,
автор: bbtarastaras