Предмет: Алгебра,
автор: Кусьяныч
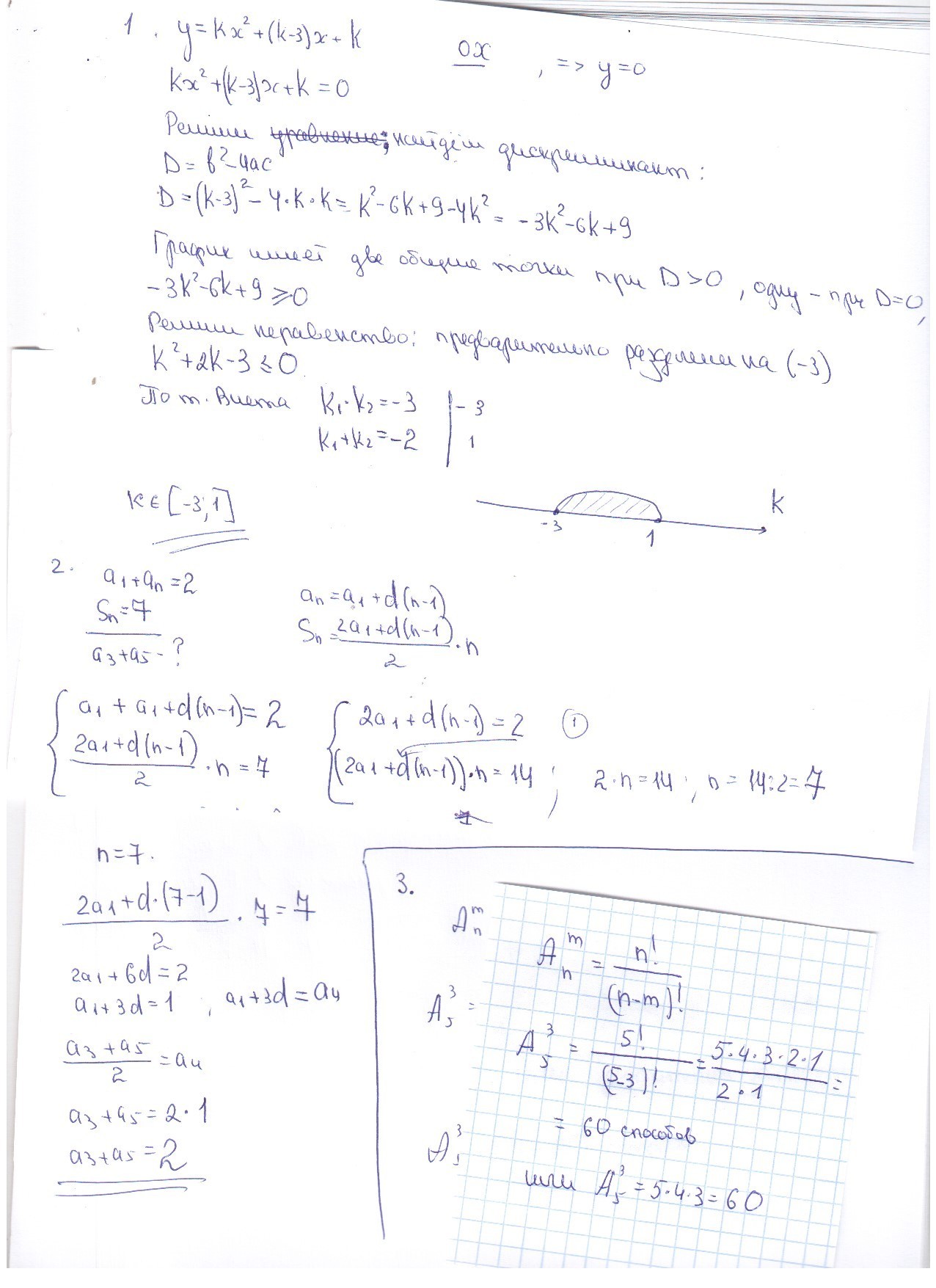
1)Для каких значениях параметра k график функции y=kx^2+(k-3)x+k имеет общие точки с осью OX?
2)Сумма первого и n-го членов арифметической прогрессии равна 2, а сумма n последовательных членов это прогрессии равна 7. Найдите сумму третьего и пятого членов прогрессии.
3)Сколько существует способов рассадить 3 пассажиров на 5 мест?
Ответы
Автор ответа:
0
Смотри на листочке решения
Приложения:
Похожие вопросы
Предмет: Геометрия,
автор: sycevila86
Предмет: Химия,
автор: yumbi
Предмет: Химия,
автор: borisenkoigor371
Предмет: Математика,
автор: minulinanataly
Предмет: Английский язык,
автор: maksim2166