Предмет: Химия,
автор: maxgj
С какими галогенами бензол входит в реакию
Ответы
Автор ответа:
2
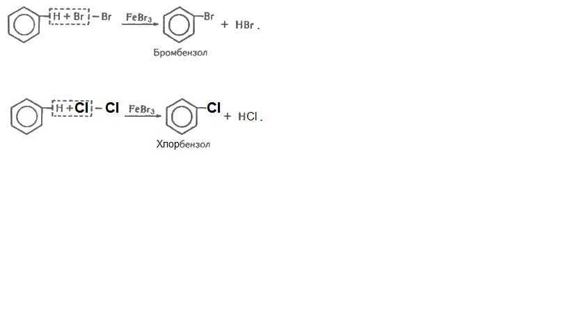
Бензол реагирует с Cl и Br в присутствии катализаторов AlCl3,FeCl3.
C6H6+ Cl2= C6H5Cl+HCl
C6H6+ Br2= C6H5Br+ HBr
C йодом реакцию нужно проводить в запаянной трубке, нагревая смесь бензола, йода и йодноватой кислоты.
C6H6+ Cl2= C6H5Cl+HCl
C6H6+ Br2= C6H5Br+ HBr
C йодом реакцию нужно проводить в запаянной трубке, нагревая смесь бензола, йода и йодноватой кислоты.
Автор ответа:
2
Бензол реагирует с хлором и бромом в присутствии катализаторов AlCl3,FeCl3. Cм. реакцию замещения на рисунке в приложении. На втором рисунке хлорбензол
Приложения:
maxgj:
Спасибо
Похожие вопросы
Предмет: Физика,
автор: VNoNameD
Предмет: Українська мова,
автор: FLINT0
Предмет: Английский язык,
автор: saakovanursulu
Предмет: Математика,
автор: gus05gusev04
Предмет: Математика,
автор: muradovasabinazon