Предмет: Математика, автор: snoww

ребят, помогите разобраться, ниче не пойму, как получился такой ответ, как в знаменателе появилось выражение под корнем в 4ой степени, там типо сократили?

Приложения:

Ответы

Автор ответа: kmike21
0
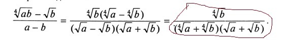
 \frac{ \sqrt[4]{ab}- \sqrt{b}  }{a-b}=  \frac{  \sqrt[4]{b}( \sqrt[4]{a}- \sqrt[4]{b})  }{ (\sqrt{a} - \sqrt{b})(\sqrt{a} + \sqrt{b}) }= \frac{  \sqrt[4]{b}( \sqrt[4]{a}- \sqrt[4]{b})  }{ (\sqrt[4]{a} - \sqrt[4]{b})(\sqrt[4]{a} + \sqrt[4]{b})(\sqrt{a} + \sqrt{b})}= \\ =\frac{  \sqrt[4]{b} }{ (\sqrt[4]{a} + \sqrt[4]{b})(\sqrt{a} + \sqrt{b})}

kmike21: Теперь понятнее?
Похожие вопросы
Предмет: Математика, автор: ivanovarvara2006