Предмет: Математика,
автор: Анилай
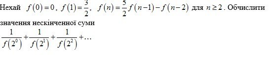
Пусть f(0)=0, f(1)=3/2, f(n)=5/2f(n-1)-f(n-2), для n>=2. Вычислите значение бесконечной суммы 1/f(2^0)+1/f(2^1)+1/f(2^2)+...
Приложения:
Ответы
Автор ответа:
0
Попробуем найти решение рекуррентного соотношения
f(n + 2) = 5/2 * f(n + 1) - f(n)
в виде f(n) = a^n.
a^(n + 2) = 5/2 a^(n + 1) - a^n
Сокращаем на a^n: a^2 = 5/2 a - 1
2a^2 - 5a + 2 = 0
a = 2 или a = 1/2
Заметим, что если f(n) и g(n) - решения, то и a f(n) + b g(n) - тоже решение. Воспользуемся этим, чтобы подобрать решение, удовлетворяющее начальным условиям.
f(n) = a * 2^n + b * 2^(-n)
f(0) = a + b = 0
f(1) = 2a + b/2 = 3/2
a = 1, b = -1
Окончательно f(n) = 2^n - 2^(-n).
Осталось вычислить сумму.

Ответ. 1
f(n + 2) = 5/2 * f(n + 1) - f(n)
в виде f(n) = a^n.
a^(n + 2) = 5/2 a^(n + 1) - a^n
Сокращаем на a^n: a^2 = 5/2 a - 1
2a^2 - 5a + 2 = 0
a = 2 или a = 1/2
Заметим, что если f(n) и g(n) - решения, то и a f(n) + b g(n) - тоже решение. Воспользуемся этим, чтобы подобрать решение, удовлетворяющее начальным условиям.
f(n) = a * 2^n + b * 2^(-n)
f(0) = a + b = 0
f(1) = 2a + b/2 = 3/2
a = 1, b = -1
Окончательно f(n) = 2^n - 2^(-n).
Осталось вычислить сумму.
Ответ. 1
Похожие вопросы
Предмет: Геометрия,
автор: bryukhovaarina
Предмет: Алгебра,
автор: k07222627
Предмет: Физика,
автор: Аноним
Предмет: Математика,
автор: 512516
Предмет: Обществознание,
автор: VAGNERLIZA