Предмет: Математика,
автор: ОвенЗвёздныйДух
решите пж срочно надо
Приложения:
Ответы
Автор ответа:
0
См.прикрепленный файл!
Приложения:
Автор ответа:
1
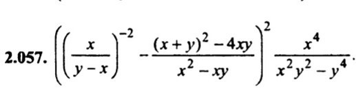
1)(y-x)²/x²-(x²+2xy+y²-4xy)/x(x-y)=(y-x)²/x²-(x²-2xy+y²)/x(x-y)=
=(y-x)²/x²-(x-y)²/x(x-y)=(y-x)²/x²-(x-y)/x=(y²-2xy+x²-x²+xy)/x²=
=(y²-xy)/x²=y(y-x)/x²
2)[y(y-x)/x²]²=y²(y-x)²/x^4
3)y²(y-x)²/x^4 *x^4/y²(x²-y²)=(x-y)²/(x-y)(x+y)=(x-y)/(x+y)
=(y-x)²/x²-(x-y)²/x(x-y)=(y-x)²/x²-(x-y)/x=(y²-2xy+x²-x²+xy)/x²=
=(y²-xy)/x²=y(y-x)/x²
2)[y(y-x)/x²]²=y²(y-x)²/x^4
3)y²(y-x)²/x^4 *x^4/y²(x²-y²)=(x-y)²/(x-y)(x+y)=(x-y)/(x+y)
Похожие вопросы
Предмет: Українська мова,
автор: olesj0903
Предмет: Алгебра,
автор: milka88822
Предмет: Алгебра,
автор: Аноним
Предмет: Алгебра,
автор: isaeva22
Предмет: Геометрия,
автор: Аноним