Предмет: Математика,
автор: NikyLove1792
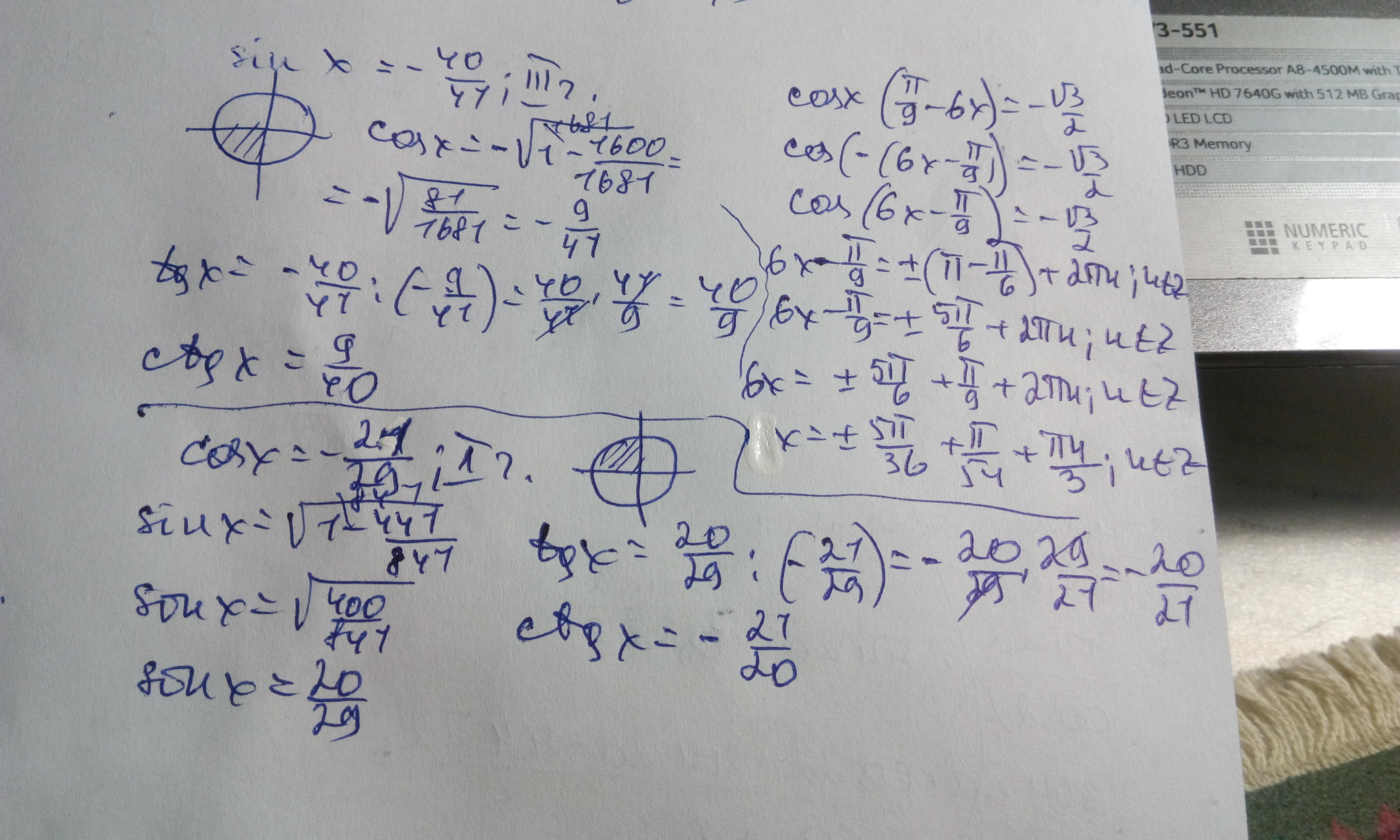
Sinx= -40/41 (3 четверть)
Cosx= -21/29. (2 четверть)
Sin(п/9 - 6x) = - ✓3/2
Ответы
Автор ответа:
0
Решение дано на фото.
Приложения:
Похожие вопросы
Предмет: Химия,
автор: Senky2022
Предмет: Геометрия,
автор: zhilin1969
Предмет: Химия,
автор: lena1990lena
Предмет: Другие предметы,
автор: mashavays1
Предмет: Другие предметы,
автор: LittleFox999