Предмет: Математика,
автор: efwfewe
Пусть (x0; y0) решение системы уравнений
{y=sqrt(x^2+6x+9)-3
{3x-2y+3=0
Найдите произведение x0 * y0
Приложения:
Ответы
Автор ответа:
0
Смотри ответ на фотографии.
Приложения:
efwfewe:
А какой именно корень принимается за x0 и y0? Корни 1ой системы или 2ой?
а корни одинаковы, что в перво системе, что во второй
это я понимаю, вопрос на будущее, просто если бы они были разные.
тогда было бы два призведентя
призведения
но ведь в ответ вводится только 1 число. Или это предусмотрено в таких уравнениях?
Это должно быть предусмотрено в ответе
как првила там появляются на них условие
Автор ответа:
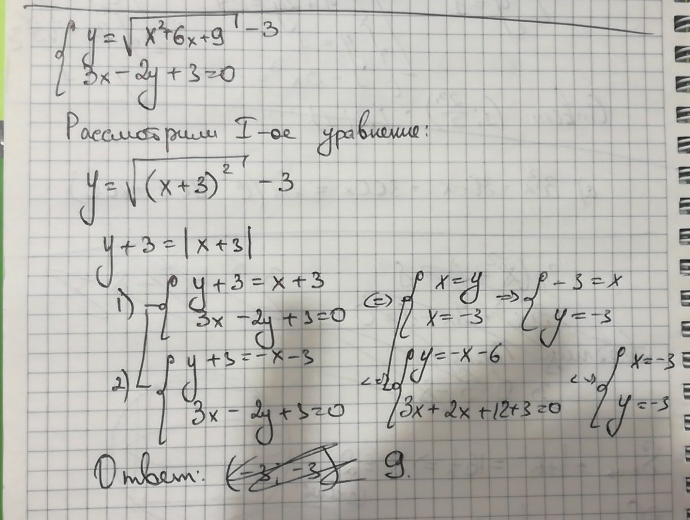
2
{y=√(x+3)²-3⇒y=|x+3|-3
{3x-2y+3=0
1)x<-3
y=-x-3-3=-x-6
подставим во 2
3x-2(-x-6)+3=0
3x+2x+12+3=0
5x+15=0
5x=-15
x=-3 не удов усл
2)x≥-3
y=x+3-3
y=x
3x-2x+3=0
x=-3
y=-3
x*y=-3*(-3)=9
Ответ 9
{3x-2y+3=0
1)x<-3
y=-x-3-3=-x-6
подставим во 2
3x-2(-x-6)+3=0
3x+2x+12+3=0
5x+15=0
5x=-15
x=-3 не удов усл
2)x≥-3
y=x+3-3
y=x
3x-2x+3=0
x=-3
y=-3
x*y=-3*(-3)=9
Ответ 9
Можно вопрос, почему в первой системе, при условии, что х<0, вы пишите, что х=-3 не подходит, что то не сходится!!
1 система не имеет решения,потому что взят промежуток x<-3,а получили х=-3!
amin вы отправили на исправлениеhttps://znanija.com/task/24920538,но там нет возможности.Так как вы не принимаете моих сообщений,вынуждена писать здесь.
Не только у вас, у меня личка не работает ((((
Отправьте заново
Отправил
Похожие вопросы
Предмет: Українська мова,
автор: safrananna9
Предмет: Информатика,
автор: SeverS1de
Предмет: География,
автор: Pppppppppxcp
Предмет: Окружающий мир,
автор: lizochkamalinina
Предмет: Алгебра,
автор: artixabib