Предмет: Алгебра, автор: nnrr

Доказать неравенство:
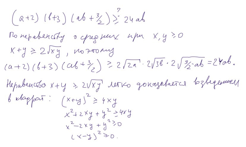
(a+2)(b+3)(ab+1,5) больше равно 24ab.
a,b больше равно 0.

Ответы

Автор ответа: Denik777
1
Решение прицеплено в картинке.
Приложения:
Похожие вопросы
Предмет: Музыка, автор: ewasharonina
Предмет: История, автор: simonovainnax
Предмет: Химия, автор: kruglenkonata804