Предмет: Алгебра, автор: Djavidan26

Срочно срочно .Помогите найти область определения функции.Нужно сделать все шесть.Помогите пожалуйста срочно надо.Даю 20 баллов

Приложения:

Ответы

Автор ответа: вкпа
2
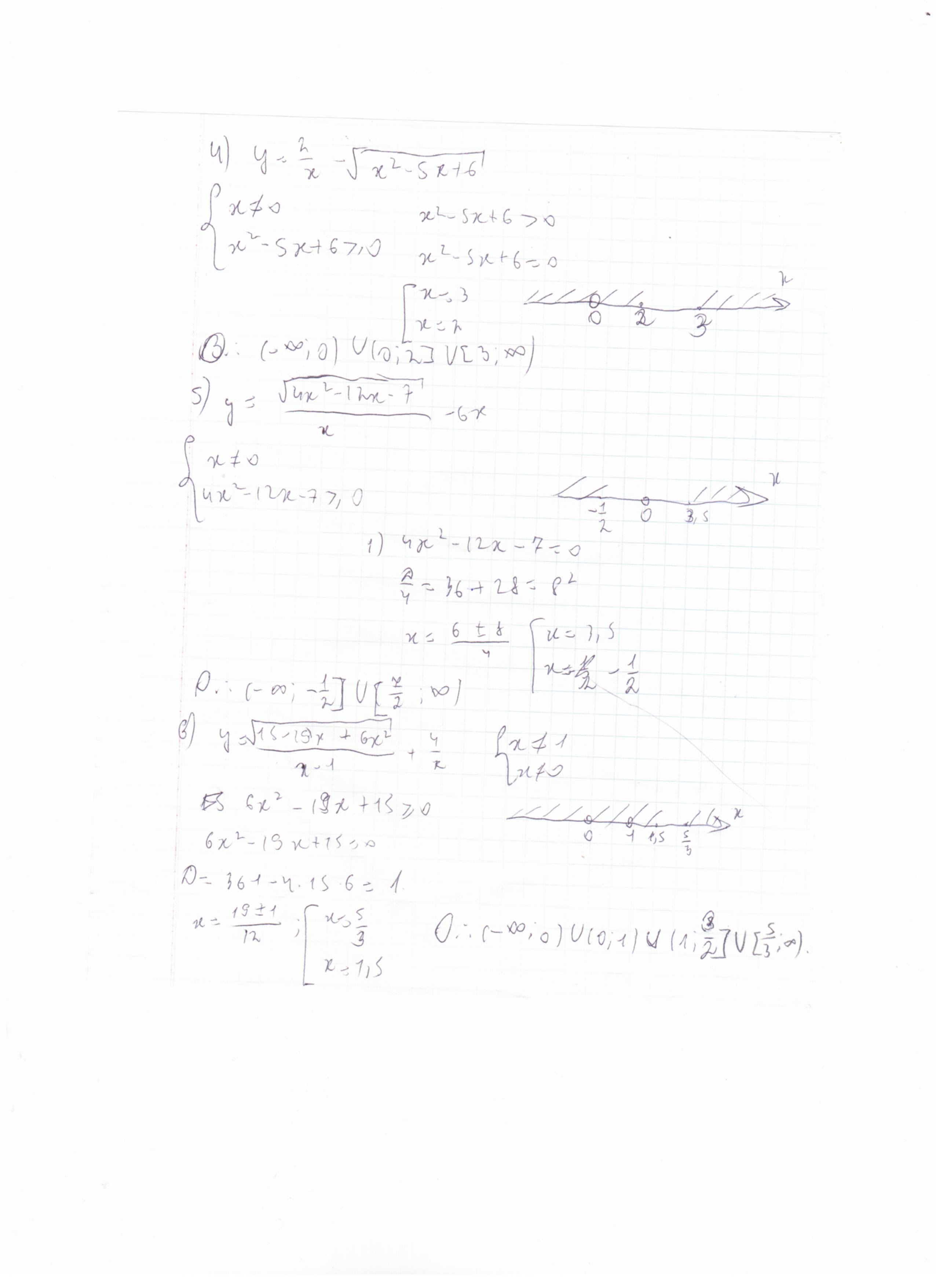
решение на фото ниже: 
Приложения:

Djavidan26: а с 4 и 5 можешь помочь?
Djavidan26: нет
Djavidan26: Ты скинул 1 2 3
Djavidan26: Я не ставил
Djavidan26: нарушения
Djavidan26: может кто то другой?
Похожие вопросы
Предмет: Химия, автор: Greshnik45
Предмет: Математика, автор: Lol3453939