Предмет: Алгебра,
автор: drwnd
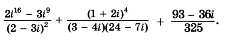
помогите, пожалуйста (задание с комплексными числами)
Приложения:
Ответы
Автор ответа:
1
Решение во вложенном файле
Приложения:
drwnd:
спасиибо Вам большое
Пишите, если ещё будут вопросы
еще раз спасибо
Похожие вопросы
Предмет: Українська література,
автор: kalmukprivit
Предмет: Другие предметы,
автор: gggvhdcbufvbjc3
Предмет: Русский язык,
автор: Аноним
Предмет: Математика,
автор: veismane12
Предмет: Українська література,
автор: ehmilsadygv