Предмет: Алгебра,
автор: GreyGoose666
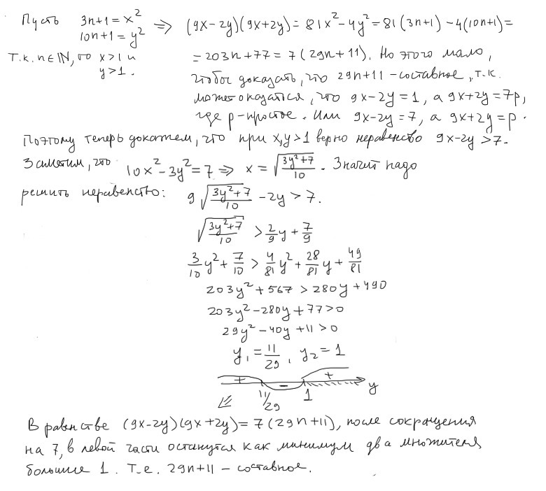
Натуральное число n таково, что числа 3n+1 и 10n+1 являются квадратами натуральных чисел. Докажите, что число 29n+11 составное.
Ответы
Автор ответа:
0
Наверняка вторую часть можно сделать и проще, но так тоже пойдет.
Приложения:
Похожие вопросы
Предмет: Математика,
автор: Ansiis
Предмет: Химия,
автор: artemreznichenko360
Предмет: Українська мова,
автор: ketrinmanro17
Предмет: Математика,
автор: irinanikitina20
Предмет: Математика,
автор: watermelon19