Предмет: Математика,
автор: voronkovaalina
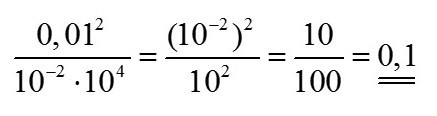
Помогите найти значение выражения (0,01)^2/10^-2*10^4. Подробно пожалуйста.
Ответы
Автор ответа:
6
Ответ в прикрепленном файле
Приложения:
Автор ответа:
3
((0,01)²/10⁻²)*10⁴=((10⁻²)²/10⁻²)*10⁴=(10⁽⁻²*²⁾/10⁻²)*10⁴=(10⁻⁴/10⁻²)
=10⁽⁻⁴⁻⁽⁻²⁾⁾*10⁴=10⁽⁻⁴⁺²⁾*10⁴=10⁻²*10⁴=10⁽⁻²⁺⁴⁾=10²=100.
=10⁽⁻⁴⁻⁽⁻²⁾⁾*10⁴=10⁽⁻⁴⁺²⁾*10⁴=10⁻²*10⁴=10⁽⁻²⁺⁴⁾=10²=100.
Похожие вопросы
Предмет: Алгебра,
автор: todduinston
Предмет: Информатика,
автор: natalikuropat83t
Предмет: Химия,
автор: okpauk09
Предмет: Физика,
автор: sonyatroyanova81
Предмет: Алгебра,
автор: Аноним