Предмет: Алгебра, автор: mishakaika

(50 балов) Упростите дробь

Приложения:

Ответы

Автор ответа: Denik777
2
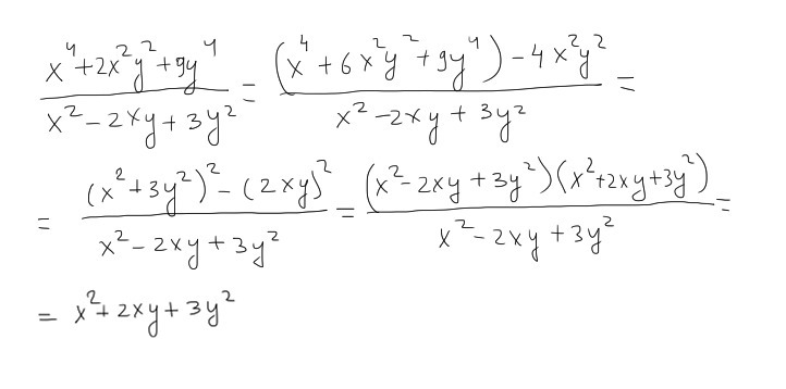
Решение прицеплено в картинке.
Приложения:
Автор ответа: sedinalana
0
[(x^4+6x²y²+9x^4)-4x²y²]/(x²-2xy+3y²)=[(x²+3y²)²-(2xy)²]/(x²-2xy+3y²)=
=(x²+3y²-2xy)(x²+3y²+2xy)/(x²-2xy+y²)=x²+3y²+2xy
Похожие вопросы
Предмет: Химия, автор: oksanasahnevih86
Предмет: Биология, автор: aliyevae
Предмет: Русский язык, автор: 12345678901279
Любознательному человеку даже самая обычная пуговица может рассказать много интересного. (2)Пуговицы появились очень давно– уже в Древнем Египте. (3)Долгое время они были достоянием знати, потому что их изготавливали из золота, серебра, драгоценных камней. (4)Простолюдины же ещё много веков подвязывали одежду поясом или ремнём. (5) В Средневековье возник обычай располагать пуговицы на мужской одежде только справа. (6)Именно с правой стороны их пришивали на рыцарскую одежду. (7)В бой рыцарь шёл левым плечом вперёд, потому что в левой руке он держал щит. (8)Чтобы в одежде рыцаря не было никаких щелей, она тоже должна была запахиваться слева направо. (9)Вот почему пуговицы пришивали на мужской одежде только на правую сторону. (10)Русский царь Пётр Первый придумал ещё один интересный обычай. (11)На военной форме того времени пуговицы стали пришивать на рукава не с внутренней, а с внешней стороны. (12)Царь хотел, чтобы солдаты отучились от дурной привычки вытирать рот рукавом после еды. (13) Пуговицы царапали рот, и солдат больше не использовал рукав вместо платка. (14)Форма не пачкалась и лучше сохранялась, от этого государство получало выгоду. (По Е. Каликинской) 6.Что хотел сказать автор читателю? Определи и запиши основную мысль текста. 7.Составь и запиши план текста из трёх пунктов. В ответе ты можешь использовать сочетания слов или предложения. 1.___ 2.___ 3._____