Предмет: Математика,
автор: Johongeer5
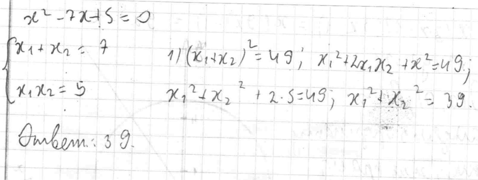
Найти сумму квадратов корней уровнения x^2-7x+5=0
Аноним:
Ну тогда х1*х2=5 х1+х2=7 х1^2+х2^2=(х1+х2)^2-2х1*х2=25-14=11-ответ.
так-то у Вас сумма равна 7, а произведение 5. Ответ, я думаю, будет 49-10=39.
Точно, право на ошибку есть у каждого, ну надеюсь теперь тебе это задание понятно, удачи).
Ответы
Автор ответа:
0
решение на фото ниже:
Приложения:
Похожие вопросы
Предмет: География,
автор: Аноним
Предмет: Литература,
автор: MargAnyakkaunttopchi
Предмет: Математика,
автор: olgarogacova1
Предмет: Математика,
автор: Аноним
Предмет: Литература,
автор: qodirsher970429