Предмет: Математика,
автор: balanar888
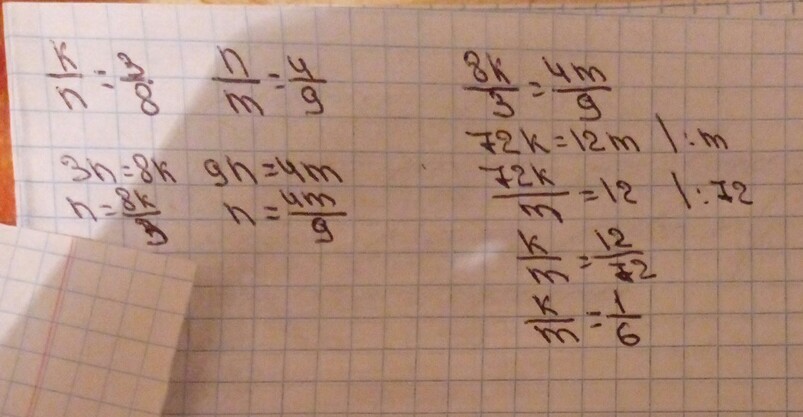
Если k/n равен 3/8 и n/m равен 4/9 - тогда найдите k/m
Ответы
Автор ответа:
4
................................
Приложения:
Похожие вопросы
Предмет: Физика,
автор: Аноним
Предмет: Українська мова,
автор: katushaaa210
Предмет: Химия,
автор: sverxrathumua2000
Предмет: Алгебра,
автор: HComfort15