Предмет: Математика,
автор: решка100
Не обращайте внимание на след от рисунка.Помогите решить!
Приложения:
Ответы
Автор ответа:
0
1) Нам надо найти сколько метров уходит на одно изделие
360 : 120 = 3 (шт)
2) 130 * 3 = 390 (м) потребуется для изготовления 130 изделий
360 : 120 = 3 (шт)
2) 130 * 3 = 390 (м) потребуется для изготовления 130 изделий
RealSIN:
360 : 120 = 3 ( м )
ой, спасибо ^^
Автор ответа:
0
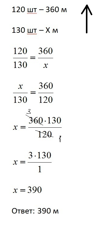
Решение через пропорцию, прямо пропорциональная зависимость.
Приложения:
Похожие вопросы
Предмет: Українська література,
автор: voloshinalaletta
Предмет: Українська література,
автор: MILKS228
Предмет: Информатика,
автор: vkbarysheva
Предмет: Русский язык,
автор: sashad2004
Предмет: Алгебра,
автор: vladuxa5437