Предмет: Алгебра,
автор: Olga158
Пожалуйста, помогите решить уравнения 9 класс
Приложения:
Ответы
Автор ответа:
0
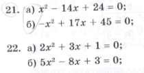
21.а) x^2-14x+24=0; D=196-96=10^2; x1=(14+10)/2=12; x2=(14-10)/2=2;
21.б) -x^2+17x+45=0; D=289+180=469; x1=(17+Корень из 469)/2; x2=(17-Корень из 469)/2.
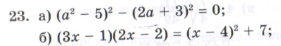
22.а) 2x^3+3x+1=0; D=9-8=1; x1=(-3+1)/4=-0.5; x2=(-3-1)/4=-1;
22.б) 5x^2-8x+3=0; D= 64-60=4; x1=(8+2)/10=1; x2=(8-2)/10=0.6
21.б) -x^2+17x+45=0; D=289+180=469; x1=(17+Корень из 469)/2; x2=(17-Корень из 469)/2.
22.а) 2x^3+3x+1=0; D=9-8=1; x1=(-3+1)/4=-0.5; x2=(-3-1)/4=-1;
22.б) 5x^2-8x+3=0; D= 64-60=4; x1=(8+2)/10=1; x2=(8-2)/10=0.6
Похожие вопросы
Предмет: Математика,
автор: infernioliprun
Предмет: Қазақ тiлi,
автор: egor56366gmailcom
Предмет: Математика,
автор: Cемён172365
Предмет: История,
автор: 26062
Предмет: Химия,
автор: Динарка98