Предмет: Математика,
автор: Elf2017
Помогите решить неравенство:
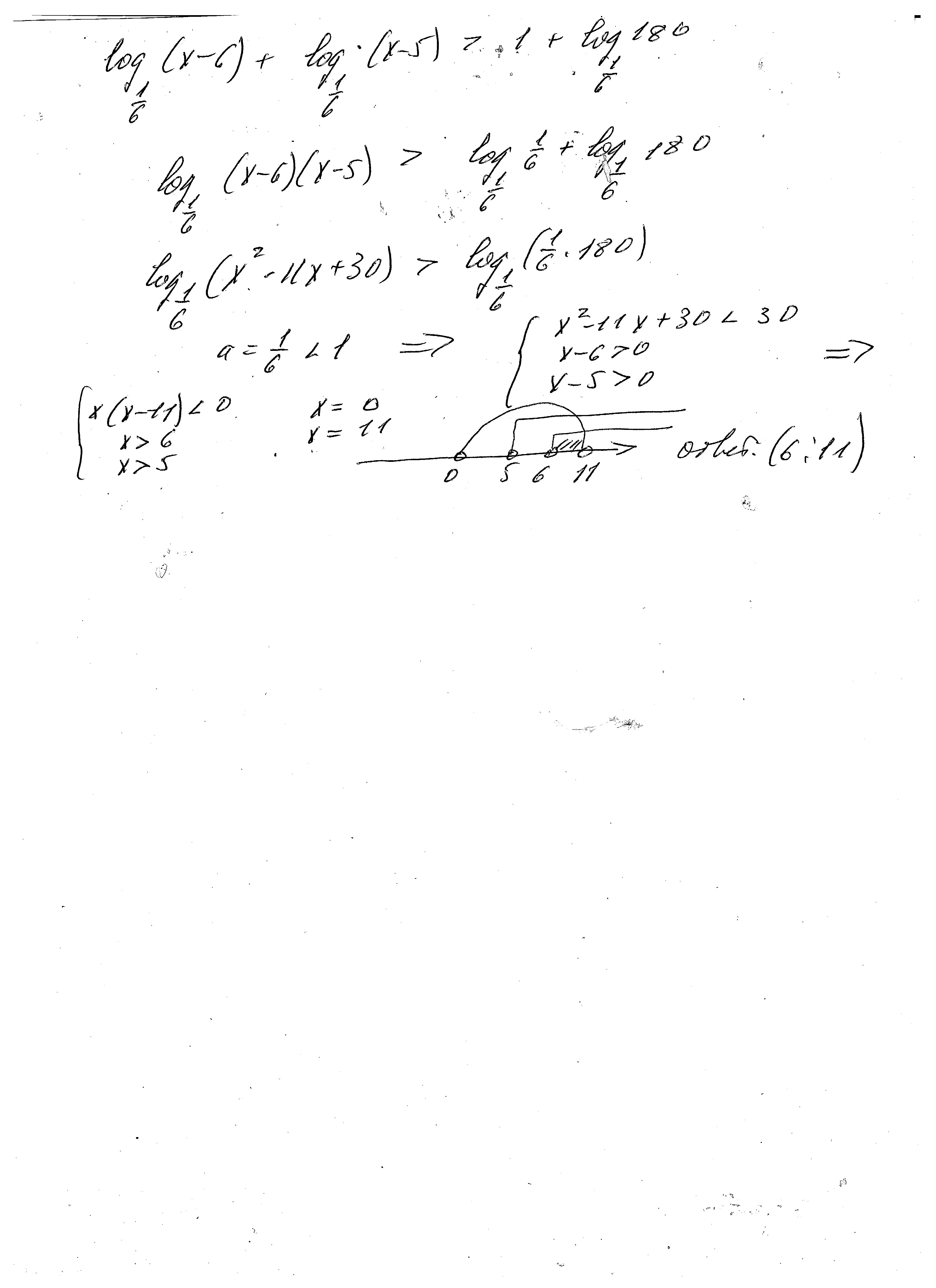
log1/6 (x-6) + log1/6 (x-5 )> 1 + log1/6 180
Ответы
Автор ответа:
0
Htitybt - d ghbkj;tybb
Приложения:
Автор ответа:
0
Спасибо
Автор ответа:
0
Прости, латинскими напечатала)))) Хотела написать- решение в приложении
Похожие вопросы
Предмет: Физика,
автор: riiiii22
Предмет: Английский язык,
автор: bogdanbabin
Предмет: Математика,
автор: faleksandra445
Предмет: Физика,
автор: seregaorell6